Contoh Soal Akar
Contoh soal bilangan bentuk akar juga disertai dengan pembahasan. Menentukan bentuk umum persamaan kuadrat menenukan akar akar persamaan kuadrat dan menentukan.
Contoh Soal Bentuk Akar Pengertian
Contoh soal persamaan kuadrat.
Contoh soal akar. Rumus dan contoh soal. Contoh soal dan pembahasan bentuk pangkat dan akar materi matematika kelas x sma. Cobo koreksi penjumlahan bentuk akar contoh no.
Pada ilmu matematika kuadrat ialahmerupakan suatu akar dari bilangan x sama dengan bilangan r sedemikian sehingga r2 x atau di. Soal soal akar akar persamaan kuadrat bila ada persamaan. Berikut ini contoh soal pangkat dan akar soal matematika kelas 9 smp plus kunci jawaban dan pembahasan.
Kak soal ini gimana ya kak. Soal pangkat dan akar ini ada 20 butir soal. Contoh merasional kan penyebut berbentuk akar tunggal.
Pengertian rumus dan contoh. Rangkuman materi bab persamaan kuadrat disertai contoh soal dan jawaban dengan pembahasan lengkapnya simak disini. Contoh soal dan pembahasan tentang bentuk akar contoh soal dan pembahasan tentang merasionalkan bentuk akar contoh soal dan pembahasan tentang penjumlahan bentuk akar.
Halaman ini memuat kumpulan soal un dari beberapa tahun dengan materi bilangan bentuk akar. 1 sepertinya ada kesalahan mohon di perbaki unknown 4 oktober 2015 1105. Agar kalian semua mengerti soal akar kuadrat maka saya akan memberikan contoh soal kepada kawan kawan.
Kumpulan soal dan pembahasan tentang persamaan kuadrat untuk smp.
Contoh Soal Dan Pembahasan Tentang Bentuk Akar Ajar Hitung
Oparasi Aljabar Pada Bentuk Akar Beserta Sifat Dan Contoh Soalnya
Kumpulan Soal Bentuk Pangkat Dan Akar
Operasi Bentuk Akar Rumus Contoh Soal Dan Pembahasan Pengertian
Sifar Sifat Bentuk Akar Cara Dan Contoh Soal Menyederhanakan Bentuk
Bilangan Berpangkat Dan Bentuk Akar Pengertian Sifat Contoh Soal
Contoh Soal Dan Jawaban Operasi Penjumlahan Pengurangan Perkalian Dan Pembagian Bentuk Akar
Bentuk Pangkat Dan Akar 10 Sma
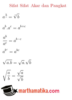
Materi Dan Contoh Soal Sifat Sifat Akar Marthamatika
Contoh Soal Dan Pembahasan Merasionalkan Bentuk Akar Pecahan
Merasionalkan Penyebut Pecahan Bentuk Akar
Materi Matematika Sma Kelas 10 Bentuk Akar Deserta Contoh Soal
Contoh Soal Bentuk Akar Eksponen Logaritma Dan Pengertiannya
Sifar Sifat Bentuk Akar Cara Dan Contoh Soal Menyederhanakan Bentuk
Bentuk Sederhana Pembagian Akar Soal Un 2017
Berikan 5 Contoh Soal Tentang Merasionalkan Penyebut Akar Brainly
Contoh Soal Bentuk Akar Eksponen Logaritma Dan Pengertiannya
Bentuk Akar Materi Lengkap Matematika Sma Smk Ma
Merasionalkan Penyebut Pecahan Bentuk Akar
Contoh Soal Bentuk Akar Eksponen Logaritma Dan Pengertiannya
Bilangan Berpangkat Dan Bentuk Akar Materi Soal Artikel Materi
Matematika Kelas X Merasionalkan Penyebut Bentuk Akar
Merasionalkan Penyebut Pecahan Bentuk Akar
Cara Menghitung Akar Pangkat 2 3 4 5 Beserta Contoh Soal
Bilangan Berpangkat Dan Bentuk Akar Anikasari
Matematika Kelas X Merasionalkan Penyebut Bentuk Akar
Contoh Soal Menyederhanakan Dan Merasionalkan Bentuk Akar Marthamatika
Bilangan Berpangkat Dan Bentuk Akar Pengertian Sifat Contoh Soal
Cara Paling Mudah Dan Cepat Mencari Akar Pangkat Dua Juragan Les
Bentuk Pangkat Dan Akar 10 Sma
Ruang Belajar Siswa Kelas 1 Contoh Soal Bentuk Akar
Merasionalkan Penyebut Pecahan Bentuk Akar
Cara Merasionalkan Penyebut Pecahan Bentuk Akar Beserta Contoh Soalnya
Contoh Soal Operasi Bentuk Akar Dan Penyelesaiannya Soalfismat Com
Cara Menghitung Akar Kuadrat Secara Manual
Rumus Akar Kuadrat Beserta Contoh Soalnya
Bilangan Pangkat Pecahan Pengertian Rumus Sifat Operasi Hitung
Contoh Soal Akar Pangkat Dua Pendidikan Sekolah Dasar
Matematika Kelas 5 100institute
Contoh Soal Dan Pembahasan Akar Dan Pangkat Sma
Soal Dan Pembahasan Bentuk Akar Tak Hingga 1 3 Istana Matematika
Index Of Wp Content Uploads 2019 08
Contoh Soal Pangkat Dan Akar Kelas 9 Smp Plus Kunci Jawaban
Contoh Soal Bentuk Akar Eksponen Logaritma Dan Pengertiannya
Soal Soal Bilangan Irrasional Bentuk Akar 1 Bentuk
Tambahan Contoh Soal 6 Bentuk Pangkat Akar Dan Logaritma
Bentuk Akar Akar Sekawan Idschool
Cara Menghitung Akar Pangkat 2 3 4 5 Beserta Dengan Contoh Soal
Rangkuman Contoh Soal Pembahasan Persamaan Kuadrat
Rumus Akar Kuadrat Beserta Contoh Soalnya
Contoh Soal Dan Pembahasan Bentuk Akar Dan Logaritma Mts Kelas 9
Contoh Soal Daerah Asal Fungsi Bentuk Akar Dan Penyebut Matematika Sma Ips 2018
Pelajaran Soal Rumus Bentuk Akar Istimewa Wardaya College
Contoh Soal Dan Pembahasan Akar Kuadrat Dengan Cara Pemfaktoran Dan
Rangkuman Contoh Soal Pembahasan Persamaan Kuadrat
Bentuk Akar Akar Sekawan Idschool
Bentuk Pangkat Dan Akar 10 Sma
Matematika Kelas 9 100institute
Cara Menghitung Akar Pangkat 3 Dengan Cepat Dan Benar
Cara Mencari Akar Persamaan Kuadrat Dengan Pemfaktoran
Materi Matematika Sma Kelas 10 Bentuk Akar Deserta Contoh Soal
Operasi Bentuk Akar Rumus Contoh Soal Dan Pembahasan Pengertian
Cara Mencari Dan Menghitung Akar Kuadrat Pangkat 2 Dua
Sifat Serta Operasi Bentuk Akar Rumus Matematika
Pelajaran Soal Rumus Persamaan Pertidaksamaan Bentuk Akar
Contoh Soal Persamaan Kuadrat Dan Penyelesaiannya Paling Lengkap
Rumus Limit Matematika Fungsi Tak Hingga Contoh Soal
Limit Fungsi Aljabar Materi Rumus Metode Contoh Soal
Bilangan Berpangkat Dan Bentuk Akar Pengertian Sifat Contoh Soal
Mengerjakan Bilangan Pangkat Pecahan Rumus Sifat Operasi Hitung
Cara Menghitung Akar Kuadrat Yang Benar Lengkap Rumus Dengan Contoh
Jumlah Kuadrat Akar Akar Super Matematika
Contoh Soal Bilangan Berpangkat Bulat Positif Negatif Dan Nol Buat
Operasi Bentuk Akar Rumus Contoh Soal Dan Pembahasan Pengertian
Materi Matematika Sma Kelas 10 Bentuk Akar Deserta Contoh Soal
Contoh Soal Dan Pembahasan Tentang Persamaan Kuadrat Sma Ajar Hitung
Rumus Persamaan Kuadrat Matematika Lengkap
Sbmptn Dan Contoh Soal Pertidaksamaan Nilai Mutlak Dan Bentuk Akar
Pelajaran Soal Rumus Bentuk Pangkat Akar Wardaya College
Bentuk Akar Pengertian Materi Sifat Dan Contoh Soal
Contoh Soal Dan Pembahasan Bentuk Akar Dalam Akar Kelas X Ipa
Soal Dan Pembahasan Persamaan Kuadrat Dengan Akar Kembar Istana
Cara Menghitung Akar Pangkat 2 3 4 5 Beserta Contoh Soal
Matematika Kelas 9 Bilangan Bentuk Akar Sifat Sifat Dan Cara
Contoh Soal Dan Pembahasan Persamaan Kuadrat Sma
Sbmptn Dan Contoh Soal Soal Hots Bisa Dihitung Dalam 5 Detik
Doc Matematika Kelas X Bab Operasi Bentuk Akar Nabila Namirah
Contoh Soal Dan Pembahasan Bentuk Pangkat Dan Akar Untuk Sd
6 Contoh Soal Pilihan Ganda Persamaan Dan Fungsi Kuadrat Lengkap
Operasi Bentuk Akar Rumus Contoh Soal Dan Pembahasan Pengertian
2 Operasi Perkalian Dan Pembagian Bentuk Akar Pembahasan Soal Un Matematika Smp Tahun 20017
Bentuk Pangkat Akar Logaritma Mari Bermain Dengan Matematika
Uji Kompetensi Bentuk Akar Sma Kurikulum 2013 Soal Dan Pembahasan


